[M] 102. 二元樹逐層遍歷 (Binary Tree Level Order Traversal)
題目
- Question link
- 主題:Binary Tree
- 難度:Medium
題目描述
給定一個二元樹的根節點 root,返回其節點值的層次遍歷結果(即從左到右,逐層進行遍歷)。
範例 1

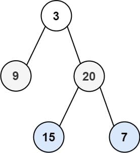
輸入: root = [3,9,20,null,null,15,7]
輸出: [[3],[9,20],[15,7]]範例 2
輸入: root = [1]
輸出: [[1]]範例 3
輸入: root = []
輸出: []限制條件
- 節點數量範圍為
[0, 2000]。 - 節點值的範圍為
-1000 <= Node.val <= 1000。
問題釐清
- 理解題目的意思是希望逐層由左至右將節點的值作為一個二維陣列輸出對吧?
- 輸出的二維陣列中,只需要回傳該節點的 value 即可?
- 若該層的節點不存在,從範例一的輸出看起來是不需要補 null 的沒錯吧?
提出測試案例
- 能通過三個範例的測試
- 不確定節點數量超出範圍的邊界條件是否需要對實作函式來做壓測
提出思路
因為是 level order 的遍歷,直覺可以用類似 BFS 的演算法來找值,整個程式邏輯會像這樣:
- 當 root 為 null,則回傳空陣列
- 宣告輸出陣列
- 實作 BFS
- 宣告一個 queue 來紀錄每一層的節點,初始化塞入 root 的節點
- 用 while loop 直到 queue 為空
- 用一個 for loop 來對當前 queue 的數量做 dequeue 取值
- 將每個節點的左右節點在推入 queue 中
- 回傳結果陣列
以註解表示:
function levelOrder(root: TreeNode | null): number[][] {
// when root equal to null, return empty array
// declare result array
// apply BFS to traverse tree
// declare a queue to record each level
// use a while loop to traverse each level (loop until queue is empty)
// use a for loop with nodes count for current level
// dequeue current node's value
// enqueue left and right node for current node
// return result
}實作
function levelOrder(root: TreeNode | null): number[][] {
// when root equal to null, return empty array
if (root === null) {
return [];
}
// declare result array
const result: number[][] = [];
// apply BFS to traverse tree
// declare a queue to record each level
const queue: TreeNode[] = [root];
// use a while loop to traverse each level (loop until queue is empty)
while (queue.length > 0) {
const nodeLength = queue.length;
const values: number[] = [];
// use a for loop with nodes count for current level
for (let i = 0; i < nodeLength; i++) {
// dequeue current node's value
const currentNode = queue.pop();
if (currentNode) {
values.push(currentNode.val);
// enqueue left and right node for current node
currentNode.left && queue.unshift(currentNode.left);
currentNode.right && queue.unshift(currentNode.right);
}
}
result.push(values);
}
// return result
return result;
}在此解法的時間複雜度部份,若此二元樹有 N 個節點,因為每個節點都被訪問一次所以應為 O(N)。
而空間複雜度部份,主要會花在 queue 的大小上,也就是是這棵樹的寬度,最壞狀況下,最寬的會是一個 perfect binary tree,也就是在最後一層節點數剛好全滿,此時最後一層數量接近為 N/2,因此空間複雜度應為 O(N)。
撰寫測試
最後依據前面的測試案例補上單元測試:
describe('Binary Tree Level Order Traversal', () => {
it('should return correct level order - example 1', () => {
const root = new TreeNode(
3,
new TreeNode(9),
new TreeNode(20, new TreeNode(15), new TreeNode(7))
);
const result = levelOrder(root);
expect(result).toEqual([[3], [9, 20], [15, 7]]);
});
it('should return correct level order - example 2', () => {
const root = new TreeNode(1);
const result = levelOrder(root);
expect(result).toEqual([[1]]);
});
it('should return empty array when null - example 3', () => {
const result = levelOrder(null);
expect(result).toEqual([]);
});
it('should handle a large tree', () => {
const root = new TreeNode(1);
let current = root;
for (let i = 2; i <= 10000; i++) {
current.right = new TreeNode(i);
current = current.right;
}
const result = levelOrder(root);
expect(result.length).toEqual(10000);
expect(result[9999]).toEqual([10000]);
});
});程式碼
完整程式碼可以參考此 GitHub 連結。
