[E] 110. 平衡二元樹 (Balanced Binary Tree)
題目
- LeetCode 連結
- 主題:Binary Tree
- 難度:Easy
題目描述
給定一個二元樹,判斷它是否是 高度平衡 的二元樹。
高度平衡 的二元樹定義為,一個二元樹中,每個節點的兩個子樹的深度相差不超過 1。
範例
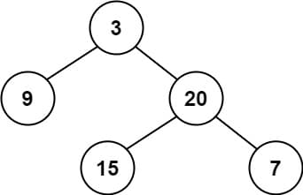
範例 1:

輸入:root = [3,9,20,null,null,15,7]
輸出:true
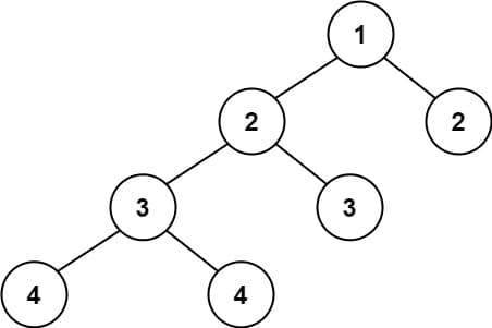
範例 2:

輸入:root = [1,2,2,3,3,null,null,4,4]
輸出:false
範例 3:
輸入:root = []
輸出:true
限制條件
- 樹中節點的數量範圍為
[0, 5000] - 節點的值範圍為
-10^4 <= Node.val <= 10^4
問題釐清
- 從範例一看起來子樹高度差為 2 - 1,所以為 true;範例二看起來子樹高度差是 3 - 1,所以為 false。這樣理解題意是正確的?
- 高度平衡的意思是每個子樹的高度差都需要在 1 以內?以範例二為例的話就是要去檢查左邊的 2、3 這些子節點
提出測試案例
- 能通過範例一、範例二
- edge case
- 空樹為 true
- 設計一個第一層平衡,但第二層不平衡的測資
先撰寫測試如下:
describe('Balanced Binary Tree', () => {
it('should return true for a balanced binary tree - example 1', () => {
const root = new TreeNode(
3,
new TreeNode(9),
new TreeNode(20, new TreeNode(15), new TreeNode(7))
);
const result = isBalanced(root);
expect(result).toBe(true);
});
it('should return false for an unbalanced binary tree - example 2', () => {
const root = new TreeNode(
1,
new TreeNode(
2,
new TreeNode(3, new TreeNode(4), new TreeNode(4)),
new TreeNode(3)
),
new TreeNode(2)
);
const result = isBalanced(root);
expect(result).toBe(false);
});
it('should return true for an empty tree - example 3', () => {
const root: TreeNode | null = null;
const result = isBalanced(root);
expect(result).toBe(true);
});
it('should return false for a tree where the first layer is balanced but the second layer is not', () => {
// 範例結構:
// 1
// / \
// 2 2
// / / \
// 3 4 5
// / \
// 4 4
const root = new TreeNode(
1,
new TreeNode(2, new TreeNode(3, new TreeNode(4), new TreeNode(4))),
new TreeNode(2, new TreeNode(4), new TreeNode(5))
);
const result = isBalanced(root);
expect(result).toBe(false);
});
});提出思路
- 用遞迴的方式實作一個算樹高的函式
getTreeHeight:- 輸入 TreeNode
- 判斷 TreeNode 是 null 時,則返回 0
- 否則遞迴去算左右子樹高
isBalanced主函式- 若輸入 TreeNode 為空,則返回 true
- 否則引用
getTreeHeight分別計算左右子樹高度差 - 確認高度差是否小於 1,並且遞迴計算左右子樹也平衡
以註解表示:
// implement a getTreeHeight function
// input a tree node
// if tree node null, return 0
// or recursively calculate max left and right tree height
const isBalanced = (root: TreeNode | null): boolean => {
// if root is null, return true
// or calculate current left and right tree height
// recursively check deeper left and right tree are balanced or note
};實作
// implement a getTreeHeight function
const getTreeHeight = (root: TreeNode | null): number => {
// if tree node null, return 0
if (!root) {
return 0;
}
// or recursively calculate max left and right tree height
return 1 + Math.max(getTreeHeight(root.left), getTreeHeight(root.right));
};
const isBalanced = (root: TreeNode | null): boolean => {
// if root is null, return true
if (!root) {
return true;
}
// or calculate current left and right tree height
const leftTreeHeight = getTreeHeight(root.left);
const rightTreeHeight = getTreeHeight(root.right);
// recursively check deeper left and right tree are balanced or note
return (
Math.abs(leftTreeHeight - rightTreeHeight) <= 1 &&
isBalanced(root.left) &&
isBalanced(root.right)
);
};這裡可以試著把 isBalanced 中的遞迴拿掉確認第四個測資通過與否來確認效果。
程式碼
詳細程式碼可以參考此 GitHub 連結。
