[E] 104. 二元樹的最大深度 (Maximum Depth of Binary Tree)
題目
- LeetCode 連結
- 主題:Binary Tree
- 難度:Easy
題目描述
給定一個二元樹的根節點 root,返回其最大深度。二元樹的最大深度是從根節點到最遠 leaf node 的最長路徑上的節點數量。
註: leaf node 是指沒有子節點的節點。
範例 1

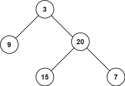
輸入:root = [3,9,20,null,null,15,7]
輸出:3範例 2
輸入:root = [1,null,2]
輸出:2限制條件
- 樹中節點的數量範圍為
[0, 10^4] -100 <= Node.val <= 100
問題釐清
- 輸入為 TreeNode 或 null,輸出為 number?應不需要處理不合法輸入?
- 最大深度從範例一看起來會包含 root 這層?
- 若空樹則回傳 0 即可?
- 樹的節點數可能達到一萬個,是否需考慮極度傾斜樹的狀況?
提出測試案例
- 能通過範例一、二
- 傳入空樹時回傳 0
- 一萬個節點的左傾樹確認不會 stack overflow
提出思路
因為跟深度有關,直覺用 DFS 來解比較單純,而 DFS 的實作可以有兩種方式:
- 遞迴
- 好處:程式碼簡潔
- 壞處:在樹過深時有可能有 stack overflow 問題
- stack 搭迴圈
- 好處:避免 stack overflow 問題
- 壞處:程式碼稍微複雜些
如果先以遞迴來解題的話以註解表示:
export default function maxDepth(root: TreeNode | null): number {
// if root is null, return 0
// declare max depth
// recursively calculate max depth of each sub tree
// return max depth
}實作
結果發現遞迴版本意外單純:
export default function maxDepth(root: TreeNode | null): number {
// if root is null, return 0
if (root === null) {
return 0;
}
// recursively calculate max depth of each sub tree
// return max depth
return 1 + Math.max(maxDepth(root.left), maxDepth(root.right));
}撰寫測試
先來把上面的測試案例實作成單元測試確認是否通過:
describe('Maximum Depth of Binary Tree', () => {
it('should return correct max depth - example 1', () => {
const root = new TreeNode(
3,
new TreeNode(9),
new TreeNode(20, new TreeNode(15), new TreeNode(7))
);
const result = maxDepth(root);
expect(result).toEqual(3);
});
it('should return correct max depth - example 2', () => {
const root = new TreeNode(1, null, new TreeNode(2));
const result = maxDepth(root);
expect(result).toEqual(2);
});
it('should return 0 when null', () => {
const result = maxDepth(null);
expect(result).toEqual(0);
});
it('should handle a large tree', () => {
const root = new TreeNode(1);
let current = root;
for (let i = 2; i <= 10000; i++) {
current.left = new TreeNode(i);
current = current.left;
}
const result = maxDepth(root);
expect(result).toEqual(10000);
});
});試著在最後一個測試調整參數做一下壓測,發現在開 pool: ‘threads' 時,10^4 是可以正常運作的,但到 10^5 就 stack overflow 了,好奇來試試 stack 的解法是否可解決。
其他解法:stack 搭迴圈版
試試 stack 搭迴圈版,註解版本:
function maxDepthByStack(root: TreeNode | null): number {
// if root is null, return 0
// declare max depth
// declare a stack with current node and current depth
// run a while loop until stack is empty
// pop current node and depth
// compare depth with max depth
// push left and right node into stack
// return max depth
}實作:
function maxDepthByStack(root: TreeNode | null): number {
// if root is null, return 0
if (root === null) {
return 0;
}
// declare max depth
let maxDepth = 0;
// declare a stack with current node and current depth
const stack: Stack[] = [
{
node: root,
depth: 1
}
];
// run a while loop until stack is empty
while (stack.length > 0) {
// pop current node and depth
const { node, depth } = stack.pop() as Stack;
if (node) {
// compare depth with max depth
maxDepth = Math.max(maxDepth, depth);
// push left and right node into stack
stack.push(
{
node: node.left,
depth: depth + 1
},
{
node: node.right,
depth: depth + 1
}
);
}
}
// return max depth
return maxDepth;
}再次用 10^5 個節點的測試實測能正確通過,一直加節點到 10^7 才開始出現卡頓感。
程式碼
詳細程式碼可以參考此 GitHub 連結。
