[E] 226. 翻轉二元樹 (Invert Binary Tree)
題目
- LeetCode 連結
- 主題:Binary Tree
- 難度:Easy
題目描述
給定一個二元樹的根節點,請翻轉這棵樹,並返回其根節點。
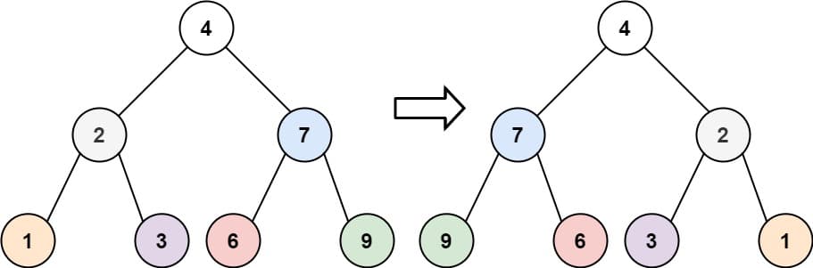
範例 1

輸入: root = [4,2,7,1,3,6,9]
輸出: [4,7,2,9,6,3,1]
範例 2

輸入: root = [2,1,3] 輸出: [2,3,1]
範例 3
輸入: root = [] 輸出: []
限制條件
- 節點數量的範圍為
[0, 100]。 - 節點的值範圍為
-100 <= Node.val <= 100。
問題釐清
- 從範例圖示看起來像是要把整個樹狀的結構做 flip 的意思?
- 若樹的結點數為 0,則回傳 null 即可?
- 此函式是否能直接去改變傳入的 root,或需要產生一個新的 TreeNode?
提出測試案例
- 能通過題目中的三種範例
- 若需要產生一個新 TreeNode,需要檢查原本 root 在輸出後仍保持原樣
提出思路
- 檢查如果 root 為 null,則回傳 null
- 定義輸出的資料格式
- 遞迴地去跑這個 function,並以 tempNode 的方式去交換左右節點
- 回傳結果的 root
function invertTree(root: TreeNode | null): TreeNode | null {
// check if the root is null, if yes, return null
// declare result tree
// recursively run invertTree function to swap left and right node
// return result
}實作
function invertTree(root: TreeNode | null): TreeNode | null {
// check if the root is null, if yes, return null
if (!root) {
return null;
}
// declare result tree
const newRoot = new TreeNode(root.val);
// recursively run invertTree function to swap left and right node
newRoot.left = invertTree(root.right);
newRoot.right = invertTree(root.left);
// return result
return newRoot;
}程式碼
詳細程式碼可以參考此 GitHub 連結。
